7 đề ôn tập giữa học kì 1 (HK1) lớp 11 môn Toán năm 2022 2023 trường THPT Thủ Đức TP HCM

  • Đề giữa HK1 Toán 11

Đề ôn tập giữa học kỳ Toán lớp 11 năm 2022 – Trường THPT Thủ Đức TP HCM

Tài liệu ôn tập giữa học kỳ 1 môn Toán lớp 11 năm học 2022 – 2023 của trường THPT Thủ Đức TP HCM bao gồm 7 đề thi, tổng cộng 08 trang. Các đề thi được biên soạn theo hình thức tự luận, thời gian làm bài 90 phút để giúp học sinh tự kiểm tra kiến thức và chuẩn bị tốt cho kì thi giữa học kỳ.

Trích dẫn một số câu hỏi trong đề thi ôn tập:

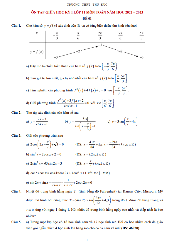
  • Cho hàm số ( y = f(x) ) xác định trên ( mathbb{R} ) và có bảng biến thiên như sau:
    [
    begin{array}{|c|c|c|c|c|c|}
    hline
    x & -pi & -dfrac{7pi}{3} & -6 & -3 & 6 \
    hline
    f(x) & 0 & 4 & -sqrt{3} & 0 & 4 \
    hline
    end{array}
    ]

    a) Hãy mô tả chiều biến thiên của hàm số ( f(x) ) trên khoảng ( -pi ) đến ( dfrac{6pi}{3} ).

    b) Tìm giá trị lớn nhất, nhỏ nhất của hàm số ( f(x) ) trên khoảng ( -dfrac{5pi}{6} ) đến ( 3 ).

    c) Tìm nghiệm của phương trình ( 2f(x) – f(x-4) = 3 ) trên khoảng ( -dfrac{5pi}{3} ) đến ( 3 ).

    d) Giải phương trình ( 2cos^3(x) – sin^3(x) = 0 ) trên khoảng ( -dfrac{7pi}{6} ) đến ( 6 ).

  • Nhiệt độ trung bình hằng ngày ( T ) (tính bằng độ Fahrenheit) tại Kansas City, Missouri, Mỹ được mô hình bởi công thức ( T(t) = 25 + 12sinleft(dfrac{4pi}{3}t – 54right)^2 ) trong đó ( t ) được đo bằng tháng và ( t = 0 ) ứng với ngày 1 tháng 1. Hỏi nhiệt độ trung bình hằng ngày cao nhất và thấp nhất là bao nhiêu?

  • Một đoàn tàu có 3 toa chở khách. Toa I, II, III. Trên sân ga có 4 khách chuẩn bị đi tàu. Biết mỗi toa có ít nhất 4 chỗ trống. Hỏi:

    a) Có bao nhiêu cách sắp xếp cho 4 vị khách lên 3 toa?

    b) Có bao nhiêu cách sắp xếp cho 4 vị khách lên tàu có 1 toa có 3 trong 4 vị khách nói trên?

Đánh giá bài viết cho thầy/cô vui 

0 / 5 0

Your page rank:

Avatar of Phan Quang
       

Về tác giả : Phan Quang

Giáo viên Toán học xuất sắc, sinh năm 1985 tại Hà Nội. Tốt nghiệp Đại học Sư phạm Hà Nội với bằng cử nhân Toán học, thầy có hơn 10 năm kinh nghiệm giảng dạy cấp 2 và ôn thi vào 10. Năm 2024, thầy sáng lập website daygioi.com – nền tảng giáo dục trực tuyến miễn phí, cung cấp bài giảng video, bài tập tương tác và tài liệu ôn tập cho hàng ngàn học sinh Việt Nam. Với phong cách dạy gần gũi, sáng tạo, thầy luôn khơi dậy niềm đam mê Toán học qua ví dụ đời thường. Được phụ huynh và học sinh yêu mến, thầy là nguồn cảm hứng cho thế hệ giáo viên trẻ.

       

Xem nhiều bài của tác giả : Phan Quang