-
Tài liệu Toán 8
Bộ sách 26 chuyên đề bồi dưỡng học sinh giỏi Đại số 8
Bộ tài liệu này bao gồm 388 trang, tập hợp 26 chuyên đề nhằm giúp học sinh giỏi bồi dưỡng kiến thức Đại số cấp 8 một cách hiệu quả. Mỗi chuyên đề được trình bày một cách chi tiết, dễ hiểu, bao gồm những kiến thức cơ bản cần nhớ, ví dụ minh họa và bài tập vận dụng có đáp số và hướng dẫn giải chi tiết.
Các chuyên đề trong bộ sách bao gồm:
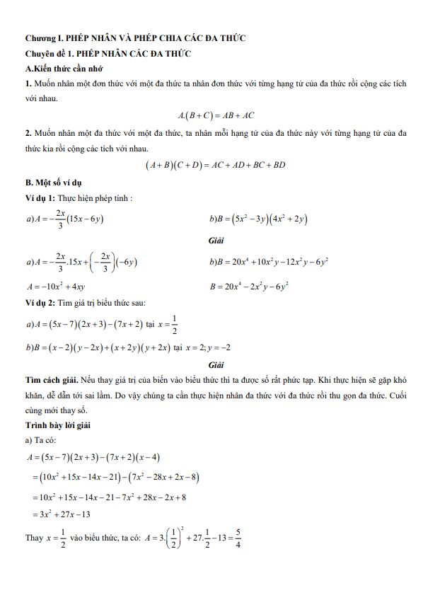
- Phép nhân các đa thức
- Các hằng đẳng thức đáng nhớ
- Phân tích đa thức thành nhân tử
- Hằng đẳng thức mở rộng
- Phân tích đa thức thành nhân
- Số chính phương
- Chia đa thức cho đa thức
- Phép chia hết trên tập hợp số nguyên
- Phân thức đại số và tính chất của chúng
- Rút gọn phân thức
- Phép cộng và phép trừ phân thức đại số
- Phép nhân và phép chia phân thức đại số
- Biến đổi phân thức hữu tỉ
- Chứng minh đẳng thức đại số
- Phương trình bậc nhất một ẩn và các dạng biến đổi
- Phương trình tích
- Phương trình chứa ẩn ở mẫu thức
- Giải toán bằng cách lập phương trình
- Phương trình nghiệm nguyên
- Bất đẳng thức và các dạng phổ biến
- Bất phương trình bậc nhất một ẩn
- Bất phương trình dạng tích, thương
- Bất phương trình chứa dấu giá trị tuyệt đối
- Giá trị nhỏ nhất và lớn nhất của biểu thức
- Đồng dư thức
Bộ tài liệu được cung cấp dưới dạng file Word để giúp thầy cô giáo có thể sử dụng và phân phối cho học sinh một cách dễ dàng. Hy vọng rằng bộ sách này sẽ giúp học sinh nắm vững kiến thức Đại số cấp 8 và phát triển khả năng giải quyết các bài toán một cách hiệu quả.